根据《哈尔滨工业大学本科生辅修专业管理办法》《计算学部计算机大类专业准入实施细则》相关要求,特制定辅修人工智能专业学生选拔方案。
辅修人工智能专业学生选拔要求:
1. 修读辅修学位须与主修学位归属不同的本科专业类,主修学位属于“0807电子信息类”专业的学生不予接收。
2. 人工智能辅修专业培养方案中的课程来自于计算机类培养方案,课程交叉较多,主修学位属于“0809计算机类”(包括生物信息)专业的学生不予接收。
3. 由于修读人工智能专业先修课要求,原则上不接收文科类专业学生辅修人工智能专业课程。
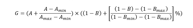
4. 符合要求的申报学生按G值由高到低排序,根据当年辅修招生名额依次确定接收人选。
G值按学生在原专业大一课程学分绩及排名计算。
按下列公式,计算学生的G值,按G值进行准入学生排名:


计算学部
2022年7月5日
